[Previous] [Contents] [Next]

Caution: This version of this document is no longer maintained. For the latest documentation, see http://www.qnx.com/developers/docs.

Formatted Input


Scan Formats · Scan Functions · Scan Conversion Specifiers


Several library functions help you convert data values from text sequences that are generally readable by people to encoded internal representations. You provide a format string as the value of the format argument to each of these functions, hence the term formatted input. The functions fall into two categories:

The byte scan functions (declared in <stdio.h>) convert sequences of type char to internal representations, and help you scan such sequences that you read: fscanf, scanf, sscanf, vfscanf, vscanf, and vsscanf. For these function, a format string is a multibyte string that begins and ends in the initial shift state.

The wide scan functions (declared in <wchar.h> and hence added with Amendment 1) convert sequences of type wchar_t, to internal representations, and help you scan such sequences that you read: fwscanf, wscanf, swscanf (added with C99), vfwscanf (added with C99), vwscanf, and vswscanf (added with C99). For these functions, a format string is a wide-character string. In the descriptions that follow, a wide character wc from a format string or a stream is compared to a specific (byte) character c as if by evaluating the expression wctob(wc) == c.

Scan Formats

A format string has the same general syntax for the scan functions as for the print functions: zero or more conversion specifications, interspersed with literal text and white space. For the scan functions, however, a conversion specification is one of the scan conversion specifications described below.

A scan function scans the format string once from beginning to end to determine what conversions to perform. Every scan function accepts a varying number of arguments, either directly or under control of an argument of type va_list. Some scan conversion specifications in the format string use the next argument in the list. A scan function uses each successive argument no more than once. Trailing arguments can be left unused.

In the description that follows, the integer conversions and floating-point conversions are the same as for the print functions.

Scan Functions

For the scan functions, literal text in a format string must match the next characters to scan in the input text. White space in a format string must match the longest possible sequence of the next zero or more white-space characters in the input. Except for the scan conversion specifier %n (which consumes no input), each scan conversion specification determines a pattern that one or more of the next characters in the input must match. And except for the scan conversion specifiers c, n, and [, every match begins by skipping any white space characters in the input.

A scan function returns when:

A scan function returns EOF if an input failure occurs before any conversion. Otherwise it returns the number of converted values stored. If one or more characters form a valid prefix but the conversion fails, the valid prefix is consumed before the scan function returns. Thus:

    scanf("%i", &i)       consumes 0X from field 0XZ
    scanf("%f", &f)       consumes 3.2E from field 3.2EZ

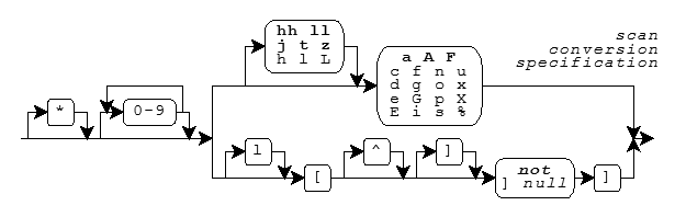
A scan conversion specification typically converts the matched input characters to a corresponding encoded value. The next argument value must be the address of an object. The conversion converts the encoded representation (as necessary) and stores its value in the object. A scan conversion specification has the format shown in the diagram.

Boldface indicates a feature added with C99.

Following the percent character (%) in the format string, you can write an asterisk (*) to indicate that the conversion should not store the converted value in an object.

Following any *, you can write a nonzero field width that specifies the maximum number of input characters to match for the conversion (not counting any white space that the pattern can first skip).

Scan Conversion Specifiers

Following any field width, you must write a one-character scan conversion specifier, either a one-character code or a scan set, possibly preceded by a one-character qualifier. Each combination determines the type required of the next argument (if any) and how the scan functions interpret the text sequence and converts it to an encoded value. The integer and floating-point conversions also determine what base to assume for the text representation. (The base is the base argument to the functions strtol and strtoul.) The following table lists all defined combinations and their properties.

Conversion  Argument          Conversion
 Specifier    Type             Function  Base

   %a       float *x               strtof     10  added with C99
  %la       double *x              strtod     10  added with C99
  %La       long double *x         strtold    10  added with C99

   %A       float *x               strtof     10  added with C99
  %lA       double *x              strtod     10  added with C99
  %LA       long double *x         strtold    10  added with C99

   %c       char x[]
  %lc       wchar_t x[]

   %d       int *x                 strtol     10
  %hd       short *x               strtol     10
  %ld       long *x                strtol     10
  %hhd      int *x                 strtol     10  added with C99
  %jd       intmax_t *x            strtoimax  10  added with C99
  %lld      long long *x           strtoll    10  added with C99
  %td       ptrdiff_t *x           strtoimax  10  added with C99
  %zd       size_t *x              strtoimax  10  added with C99

   %e       float *x               strtof     10  changed with C99
  %le       double *x              strtod     10
  %Le       long double *x         strtold    10  changed with C99

   %E       float *x               strtof     10  changed with C99
  %lE       double *x              strtod     10
  %LE       long double *x         strtold    10  changed with C99

   %f       float *x               strtof     10  changed with C99
  %lf       double *x              strtod     10
  %Lf       long double *x         strtold    10  changed with C99

   %F       float *x               strtof     10  added with C99
  %lF       double *x              strtod     10  added with C99
  %LF       long double *x         strtold    10  added with C99

   %g       float *x               strtof     10  changed with C99
  %lg       double *x              strtod     10
  %Lg       long double *x         strtold    10  changed with C99

   %G       float *x               strtof     10  changed with C99
  %lG       double *x              strtod     10
  %LG       long double *x         strtold    10  changed with C99

   %i       int *x                 strtol      0
  %hi       short *x               strtol      0
  %li       long *x                strtol      0
  %hhi      int *x                 strtol      0  added with C99
  %ji       intmax_t *x            strtoimax   0  added with C99
  %lli      long long *x           strtoll     0  added with C99
  %ti       ptrdiff_t *x           strtoimax   0  added with C99
  %zi       size_t *x              strtoimax   0  added with C99

   %n       int *x
  %hn       short *x
  %ln       long *x
  %hhn      int *x                                added with C99
  %jn       intmax_t *x                           added with C99
  %lln      long long *x                          added with C99
  %tn       ptrdiff_t *x                          added with C99
  %zn       size_t *x                             added with C99

   %o       unsigned int *x        strtoul     8
  %ho       unsigned short *x      strtoul     8
  %lo       unsigned long *x       strtoul     8
  %hho      unsigned int *x        strtoul     8  added with C99
  %jo       uintmax_t *x           strtoumax   8  added with C99
  %llo      unsigned long long *x  strtoull    8  added with C99
  %to       ptrdiff_t *x           strtoumax   8  added with C99
  %zo       size_t *x              strtoumax   8  added with C99

   %p       void **x

   %s       char x[]
  %ls       wchar_t x[]

   %u       unsigned int *x        strtoul    10
  %hu       unsigned short *x      strtoul    10
  %lu       unsigned long *x       strtoul    10
  %hhu      unsigned int *x        strtoul     8  added with C99
  %ju       uintmax_t *x           strtoumax   8  added with C99
  %llu      unsigned long long *x  strtoull    8  added with C99
  %tu       ptrdiff_t *x           strtoumax   8  added with C99
  %zu       size_t *x              strtoumax   8  added with C99

   %x       unsigned int *x        strtoul    16
  %hx       unsigned short *x      strtoul    16
  %lx       unsigned long *x       strtoul    16
  %hhx      unsigned int *x        strtoul     8  added with C99
  %jx       uintmax_t *x           strtoumax   8  added with C99
  %llx      unsigned long long *x  strtoull    8  added with C99
  %tx       ptrdiff_t *x           strtoumax   8  added with C99
  %zx       size_t *x              strtoumax   8  added with C99

   %X       unsigned int *x        strtoul    16
  %hX       unsigned short *x      strtoul    16
  %lX       unsigned long *x       strtoul    16
  %hhX      unsigned int *x        strtoul     8  added with C99
  %jX       uintmax_t *x           strtoumax   8  added with C99
  %llX      unsigned long long *x  strtoull    8  added with C99
  %tX       ptrdiff_t *x           strtoumax   8  added with C99
  %zX       size_t *x              strtoumax   8  added with C99

 %[...]     char x[]
%l[...]     wchar_t x[]

   %%       none

The scan conversion specifier (or scan set) determines any behavior not summarized in this table. In the following descriptions, examples follow each of the scan conversion specifiers. In each example, the function sscanf matches the bold characters.

You write %c to store the matched input characters in an array object. If you specify no field width w, then w has the value one. The match does not skip leading white space. Any sequence of w characters matches the conversion pattern.

sscanf("129E-2", "%c", &c)             stores '1'
sscanf("129E-2", "%2c", &c[0])         stores '1', '2'

For a wide stream, conversion occurs as if by repeatedly calling wcrtomb, beginning in the initial conversion state.

swscanf(L"129E-2", L"%c", &c)          stores '1'

You write %lc to store the matched input characters in an array object, with elements of type wchar_t. If you specify no field width w, then w has the value one. The match does not skip leading white space. Any sequence of w characters matches the conversion pattern. For a byte stream, conversion occurs as if by repeatedly calling mbrtowc, beginning in the initial conversion state.

sscanf("129E-2", "%lc", &c)            stores L'1'
sscanf("129E-2", "%2lc", &c)           stores L'1', L'2'
swscanf(L"129E-2", L"%lc", &c)         stores L'1'

You write %d, %i, %o, %u, %x, or %X to convert the matched input characters as a signed integer and store the result in an integer object.

sscanf("129E-2", "%o%d%x", &i, &j, &k) stores 10, 9, 14

You write %a, %A, %e, %E, %f, %F, %g, or %G to convert the matched input characters as a signed fraction, with an optional exponent, and store the result in a floating-point object.

sscanf("129E-2", "%e", &f)             stores 1.29

You write %n to store the number of characters matched (up to this point in the format) in an integer object. The match does not skip leading white space and does not match any input characters.

sscanf("129E-2", "12%n", &i)           stores 2

You write %p to convert the matched input characters as an external representation of a pointer to void and store the result in an object of type pointer to void. The input characters must match the form generated by the %p print conversion specification.

sscanf("129E-2", "%p", &p)             stores, e.g. 0x129E

You write %s to store the matched input characters in an array object, followed by a terminating null character. If you do not specify a field width w, then w has a large value. Any sequence of up to w non white-space characters matches the conversion pattern.

sscanf("129E-2", "%s", &s[0])          stores "129E-2"

For a wide stream, conversion occurs as if by repeatedly calling wcrtomb beginning in the initial conversion state.

swscanf(L"129E-2", L"%s", &s[0])       stores "129E-2"

You write %ls to store the matched input characters in an array object, with elements of type wchar_t, followed by a terminating null wide character. If you do not specify a field width w, then w has a large value. Any sequence of up to w non white-space characters matches the conversion pattern. For a byte stream, conversion occurs as if by repeatedly calling mbrtowc, beginning in the initial conversion state.

sscanf("129E-2", "%ls", &s[0])         stores L"129E-2"
swscanf(L"129E-2", L"%ls", &s[0])      stores L"129E-2"

You write %[ to store the matched input characters in an array object, followed by a terminating null character. If you do not specify a field width w, then w has a large value. The match does not skip leading white space. A sequence of up to w characters matches the conversion pattern in the scan set that follows. To complete the scan set, you follow the left bracket ([) in the conversion specification with a sequence of zero or more match characters, terminated by a right bracket (]).

If you do not write a caret (^) immediately after the [, then each input character must match one of the match characters. Otherwise, each input character must not match any of the match characters, which begin with the character following the ^. If you write a ] immediately after the [ or [^, then the ] is the first match character, not the terminating ]. If you write a minus (-) as other than the first or last match character, an implementation can give it special meaning. It usually indicates a range of characters, in conjunction with the characters immediately preceding or following, as in 0-9 for all the digits.) You cannot specify a null match character.

sscanf("129E-2", "%[54321]", &s[0])     stores "12"

For a wide stream, conversion occurs as if by repeatedly calling wcrtomb, beginning in the initial conversion state.

swscanf(L"129E-2", L"%[54321]", &s[0])  stores "12"

You write %l[ to store the matched input characters in an array object, with elements of type wchar_t, followed by a terminating null wide character. If you do not specify a field width w, then w has a large value. The match does not skip leading white space. A sequence of up to w characters matches the conversion pattern in the scan set that follows.

For a byte stream, conversion occurs as if by repeatedly calling mbrtowc, beginning in the initial conversion state.

sscanf("129E-2", "%l[54321]", &s[0])    stores L"12"
swscanf(L"129E-2", L"%l[54321]", &s[0]) stores L"12"

You write %% to match the percent character (%). The function does not store a value.

sscanf("%  0XA", "%% %i", &i)          stores 10

See also the Table of Contents and the Index.

Copyright © 1989-2002 by P.J. Plauger and Jim Brodie. All rights reserved.

[Previous] [Contents] [Next]